
Laser Powder Deposition (LPD) is a type of Directed Energy Deposition that uses a laser beam to melt blown powdered material into fully dense 3D structures, as well as coat the surface or build features on pre-existing parts. Typically an inert gas stream is used to blow the powdered material, through a processing head assembly, into the melt pool that is created by the laser beam. Computer controlled robotics are used to manipulate both the processing head and part. A LPD process schematic can be found in the Figure below. LPD offers flexibility, accuracy, and precision of photon energy and material delivery. The concentrated laser beam heat source minimizes thermal effects when compared to more traditional processes, such as arc welding. Moreover, freedom in Design for Additive Manufacturing (DFAM) allows LPD to be used for production of complex structures that cannot be conventionally manufactured.

Laser Powder Deposition (LPD)


3D Printed Ti-6Al-4V Structure:
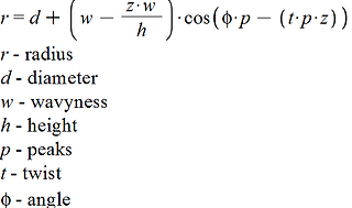
The part shown to the left was fabricated using LPD technology. The corresponding path-plan was generated in MatLab using the following equation:

Laser Cladding of Belt Drive Rollers:
The video to the left describes an additive manufacturing success story. The associated research and development was conducted by the AML for Kondex Corporation. Approximately 1400 beta test parts were clad in the AML during transition from R&D to production.
